Calculations (formulas and equations) in (1) Sag-tension Report and (2) Support Report
1. Sag-tension Report
Catenary equation
To model an asymmetric catenary (Figure 1.1, a power line suspended between two points of different heights), we use the hyperbolic cosine function. In physics and engineering, the shape of a hanging flexible cable under its own weight is described by the following general equation:
(1.1)

Figure 1.1: Geometry and parameters of an asymmetric catenary span between supports of unequal height
Where:
- (x1,y1) - coordinates of lower support (first/lower support),
- (x2,y2) - coordinates of the upper support (second/upper support), where y2>y1,
- ∆h=y2-y1 - difference in the height of the supports,
- span=a - horizontal spacing in the X-Y plane (i.e. a=x2-x1 if x2>x1),
- w - weight of conductor in length (N/m),
- s - horizontal tensile force (N),
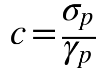
- c=s /w - catenary constant (m).
Additional explanation of the parameters of the equation for the catenary equation of state.
The core shape (c and cosh)
The hyperbolic cosine function (cosh) describes the equilibrium shape of an ideal flexible cable subjected only to its uniformly distributed self-weight.
The Catenary Constant (c=s/w) - This part of equation represents the "strength-to-weight" ratio.
- If s (tension) is high, c is large, making the curve very flat.
- If w (weight) increases (due to ice,wind etc.), c becomes smaller, making the "dip" or "sag" much deeper.
The horizontal shift (x0)
In a symmetric span, the lowest point is exactly in the middle. However, because supports are at different heights (y1 and y2), the curve becomes asymmetric.
x0 is the horizontal coordinate of the vertex (the lowest point of the arc). Because y2>y1, the vertex x0 will shift closer to the lower support.
In extreme cases (very steep terrain), x0 can even fall "outside" the span, meaning the conductor slopes upward continuously from the lower support to the upper support.
The vertical shift (C)
The constant C acts as a "leveler" to place the conductor at the correct elevation in the coordinate system.
If C=0: The lowest point of the curve (the vertex) sits at exactly y=c.
In Reality: The C is adjusted so that when you plug in x1, you get exactly y1 (the height of the first tower). It ensures the mathematical curve actually "touches" the physical support points.
Environmental (ambient) impact (Ice and Wind)
Weight of conductor w is critical for engineering safety:
When ice accumulates, the weight per meter (w) increases. Since c=s/w, a larger w forces c to decrease.
Mathematically, a smaller c in the denominator of the cosh argument causes the function to grow much faster as you move away from the vertex, which physically manifests as a deeper sag. This is why power lines risk touching trees or the ground during heavy winter storms.
Weather and referent condition concepts in the Power Path
Overhead line design standards define:
- which environmental actions are considered (ice, wind, and the temperature range), and
- which safety and combination factors are applied in sag–tension calculations.
Even though the exact values differ from one standard to another, the calculation workflow is essentially the same:
- Define the standard load cases.
Start from the load cases required by the selected standard (for example, –20°C without ice or –5°C with ice). For each case, calculate the equivalent line load w [N/m] that represents the total load per meter of conductor (self-weight plus any additional ice/wind effects, as applicable).
- Choose the reference state for maximum tension (critical span concept).
Among all load cases, identify the case that produces the maximum tension for the section. This is done using the critical span concept, which accounts for the fact that different spans do not contribute equally to the controlling tension.
- Find the temperature that produces maximum sag (critical temperature concept).
Determine the temperature at which the maximum sag occurs. Depending on the standard and the considered load cases, this is often at a high temperature (e.g., +40°C) or at a specific ice-related case (e.g., –5°C with ice). The selection is made using the critical temperature concept.
- Use a ruling (equivalent) span for multiple spans in one tension section.
If a tension section consists of several unequal spans, replace the actual span a with the ruling (equivalent) span. This allows the section to be represented by one effective span that produces equivalent sag–tension behavior.
To enable the user to define the required weather (ambient) and reference (initial) conditions, the software provides configuration options for both weather and referent conditions used in mechanical calculations.
Critical span
Critical span is a span where conductor tensile stress at -20°C is the same as at -5°C with ice load.
(1.2)
Where:
- k = 1 - it has already been said how it is obtained (it is achieved with it at the higher point of hanging sF ≅ snd)
- snd - nominal tensile stress,
- α - temperature coefficient,
- gR - equivalent conductor specific weight (already mentioned):


- specific conductor weight with ice load,
- S – conductor cross section.
The critical span akr the crossover span length between two controlling load cases for maximum tensile stress. For spans much longer than a_kr, the maximum tensile stress usually occurs in the ice load case (because the influence of additional specific weights due to ice is dominant) at t=-5°C with ice. For shorter spans, the maximum tensile stress can occur in the cold no-ice case at t=-20°C.
After calculating the critical span, it is necessary to compare it with the span a. If a >akr, then the maximum tensile stress occurs at a temperature with ice, as already stated in the previous paragraph. In this case, the initial values are: s0 = ksnd, t0 = -5°C, g0 = gR = g + gnd. Otherwise, if a < akr,, the maximum tensile stress occurs at a temperature t = -20°C without ice. In this case, the initial values are: s0 = ksnd , t0 = -20°C, g0 = g .
Critical span can be used to determine referent state.
If it is necessary to calculate the conductor tensile stress at a specific temperature, the sag–tension (state) equation can be rewritten in polynomial form:
(1.3)
The coefficients of polynomials A and B are:
For a > akr
(1.4)
For a < akr

(1.5)
B is not dependent on critical span.

(1.6)
Tensile stress equation can be solved iteratively.
Maximal conductor sag
Sag is the vertical distance between the conductor curve and the straight chord a12 connecting the two suspension points (points 1 and 2). For an oblique span (different suspension heights), the point of maximum sag does not generally lie at mid-span.
The maximum sag f_max defined at athe point M where the conductor tangent is parallel to the chord a12. In that point, the perpendicular distance from the chord to the conductor is maximal. Figure 1.2. illustrates the definition of the maximum sag at an oblique span.

Figure 1.2: Maximal catenary sag at an oblique span
To compute sag accurately for an oblique span, the span is transformed into an equivalent “level” span in a rotated coordinate system (x_p, y_p ), where the x_p - axis is aligned with the chord a_12. The effective span length in this system is:

(1.7)
Where:
- a – horizontal span length,
- a_12 – chord length between suspension points,
- ψ – inclination angle of the chord relative to the horizontal.
Figure 1.3 shows the rotated coordinate system used for the oblique-span transformation.

Figure 1.3: Oblique span in (x, y) and rotated coordinate system (xp, yp)
In the rotated system (x_p, y_p ), the sag is computed using the exact catenary (hyperbolic cosine) formulation (1.1) . In an oblique span with chord inclination angle ψ, the sag is evaluated in a rotated coordinate system (x_p, y_p) aligned with the span. To keep the exact catenary (hyperbolic cosine) formulation in this rotated system, the tensile stress and the specific weight are transformed by projection:

(1.8)

(1.9)
Where:
- σ – tensile stress (or horizontal tensile component consistent with the used formulation),
- γ – conductor specific weight for the considered load case,
- σ_p, – is the equivalent horizontal tensile stress in the rotated system,
- γ_p – is the equivalent specific weight in the rotated system,
- ψ – is the chord inclination (span slope angle).
When the span is oblique, we use a rotated coordinate system (x_p, y_p) aligned with the span.
The corresponding catenary parameter is then:

(1.10)
and maximum sag (for the symmetric “level” span in (x_p, y_p)) is obtained as:

(1.11)
This formulation is used to avoid approximation errors that occur when using parabolic relations for oblique spans and provides accurate results for all span lengths and load cases.
Critical temperature
The maximum sag is the largest sag value occurring within the considered temperature range (e.g., from -20°C to +40°C ). Depending on the selected load cases, the maximum sag may occur either at the maximum temperature (e.g., +40°C , no ice) or in an ice load case (e.g., -5°C with ice). In the calculation workflow, the conductor geometry is described by the catenary equation (1.1), while the conductor mechanical state (tension vs. temperature and loading) is obtained from the sag–tension (state) equation (1.3).
The critical temperature t_kr defined as the temperature in the no-ice condition at which the sag equals the sag in the ice load case (typically -5°C with ice):

Where:
- f(t_kr,γ) is the conductor sag at temperature t_kr without ice and
- f(-5°C,γ_R) is the sag in the ice case with the equivalent specific weight γ_R.
Using Equation 1.3 with the initial conditions σ_0=σ_L, t_0=-5°C , γ_0=γ_R, the simplified expression for the critical temperature is obtained (1.12):

(1.12)
Where:
- tkr - critical temperature,
- σL - is the conductor tensile stress in the ice load case (typically at_t=-5°C),
- α – thermal expansion coefficient,
- E – modulus of elasticity,
- ψ – span inclination (chord angle),
- γ – specific weight (no ice),
- γ_R – equivalent specific weight (ice case).
Finnaly, if tkr <40°C the maximal sag occurs at t = 40°C, otherwise, it occurs in the ice load case at t = -5°C with ice.
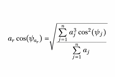
Ruling span
A tension section is the portion of the line between two adjacent tension (dead-end) structures (supports). In practice, spans within a tension section are not always equal. Under temperature changes and mechanical loading (ice/wind), different span lengths do not elongate equally, which leads to a redistribution of tension and suspension geometry along the section.
To account for this behavior, a multi-span tension section is represented by a single ruling (equivalent) span a_r. The ruling span is used to determine a representative conductor stress σ(t) for the entire tension section.
In the calculation workflow, the conductor geometry is described by the catenary equation (1.1), while the conductor mechanical state (stress/tension as a function of temperature and loading) is obtained from the sag–tension (state) equation (1.3), solved iteratively.
For a tension section with multiple spans, the span a in Equation 1.5 is replaced by the ruling span a_r. The resulting σ(t) is then used for the sag calculation of each individual span.
Once the stress σ(t) for the tension section is obtained using the ruling span, the sag of each span is computed using the exact catenary (hyperbolic cosine) formulation (1.1), with the actual span geometry (span length and inclination) of that span.
For a tension section consisting of n spans, the ruling span is computed from the set of span lengths a_j and their inclinations ψ_j as:

(1.13)
Where:
- a_j – span length of span j (horizontal projection),
- ψ_j – chord inclination angle of span j,
- a_r – ruling (equivalent) span of the tension section,
- ψ_ar – effective inclination associated with the ruling span.
Conductor length
For conductor length we use asymmetric catenary. The conductor forms a catenary whose shape satisfies equation:

(1.14)
Where:
- (x1,y1) - coordinates of lower support (first/lower support),
- (x2,y2) - coordinates of the upper support (second/upper support), where y2>y1,
- ∆h=y2-y1 - difference in the height of the supports,
- span=a - horizontal spacing in the X-Y plane (i.e. a=x2-x1 if x2>x1),
- w or g - weight of conductor in length (N/m),
- s - horizontal tensile force (N),
- c=s /g - catenary constant,
- (xL,fL) - horizontal distance and sag on the left (left support),
- (xR,fR) - horizontal distance and sag on the right (right support).
In practice the division of the range is more often used into:

(1.15)
and

(1.16)

(1.17)
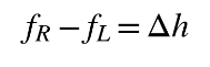
Since the right support is higher by ∆h, it is worth it:

(1.18)
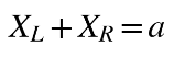
This gives two basic equations for the unknown xL, xR (with xL+xR=a) and the parameter c=s /g (which is known if the force is s already given).

Figure 1.4: Horizontal distance (xL,xR) and sag
The equation is often reducted to finding xR (in the interval [0.a] that satisfies:

(1.19)
After finding it xR, we get xL=a-xR. The same goes for fL, fR.
The total lenght of the conductor (arc of the catenary) for the asymmetric span from first/lower support to second/higher support is the sum of the lengths of the segments to the left and right of the lowest point:

(1.20)
It is an exact solution of an asymmetrical catenary (in a plane) with a horizontal span a and a height difference ∆h.
Calculation ensures an accurate of the length of the suspended conductor even when the poles are not at the same height.
Defining weather conditions
Weather or ambient conditions are defined by the standard and therefore vary from country to country. Power Path supports different standards (guidelines, manuals, codes) for calculation. The two most important parameters for defining weather conditions are ice load and wind load. A detailed explanation is provided here on how these loads are defined according to the standard. If a specific standard for your country is not specified, use the basic (General) standard. A detailed explanation according to the standards for each country is provided here.
Ice load according to the standard:
- General
General standard allows direct input of ice load per meter without using predefined formulas.
Calculation formula:

Where:
- gice - ice load per length (N/m) - user input value
- A - conductor cross-section (mm²)
- Serbia / Croatia / Bosnia and Herzegovina / North Macedonia / Montenegro (RS/HR/BA/MK/ME) – Rulebook, Official Gazette SFRJ
Normal additional load due to ice is the largest additional load that occurs at a given place on average every 5 years and it is calculated according to the formula:

Where:
- d - diameter of conductor or ground wire (mm).
To estimate the additional load taken into account in the calculation, the ice coefficients obtained from the hydrometeorological service and the measured values on the existing overhead power lines and telecommunication lines along the projected route are taken into account:
1.0g
1.6g
2.5g
4.0g
The rulebook defines ice load factor depending on the temperature with value:
1, for the ambient temperature to -5°C,
1.6, for the ambient temperature from -5°C to -20°C,
2.5 , for the ambient temperature from -20°C to -30°C and
4, for the ambient temperature below -30°C.
Values other than those listed may be taken, but not less than 1.0g .
- German (DE) - EN 50341-2-4:2019
German standard defines the ice load per unit length g_I [N/m] as a function of altitude zone (E1–E4) and conductor diameter d.

Where:
- d - conductor diameter (mm).
- Italy (IT) - EN 50341-2-13:2017
Italian standard defines three load types based on ice/snow conditions and altitude zones.
Ice load, depending on the weather condition and altitude, can be:

Where:
- Sk is the characteristic ice/snow thickness (in mm) for the selected load type and altitude a_s
Ice density for different loads:
- Load type 1 (ice): 900 kg/m³,
- Load type 2 (snow): 500 kg/m³,
- Load type 3 (snow): 500 kg/m³.
The ice load for a different return period is defined by applying a conversion factor:

Ice load calculation formula:

Where:
- d - conductor diameter (mm),
- ti - ice/snow thickness Sk (mm),
- ρi - ice/snow density (kg/m³),
- d+2ti – total diameter after icing (mm).
- Norway (NO) - EN 50341-2-16:2016
Norwegian standard uses the exact method, the weight span method does NOT apply in Norway. Ice load is calculated from the exact volume of the ice ring.
Calculation formula:

Where:
- ρi – density of ice (900 kg/m³),
- g – gravitational acceleration (9.81 m/s²),
- de= dc + 2ti – outer diameter including the ice layer (m),
- dc – nominal diameter of the conductor (m),
- ti – thickness of the ice layer (radial ice thickness) (mm), defined by domestic climate zones.
Ice density for different loads:
- Wet snow: 600 kg/m³,
- Hard rime: 700 kg/m³,
- Default: 900 kg/m³.
The ice load for a different return period is defined by applying a conversion factor.

I_T and I_50 are ice loads with return periods of T and 50 years periods respectively.
- Romania (RO) - EN 50341-2-24:2018
Romanian standard uses ice thickness zones and calculates ice load based on the cross-sectional area of the ice sleeve around the conductor. Ice density is 765 kg/m³.
Ice load zone defines ice thickness:

Calculation formulas:
- Limit Force (ULS - Ultimate Limit State) - for structural design:

- Nominal Force (SLS - Serviceability Limit State) - for normal operating conditions:

Where:
- dc - conductor diameter (mm),
- bch - ice thickness (mm),
- γch - ice density = 765 kg/m³,
- γI - partial factor (1.0 - 1.2).
- Slovenia (SI) - EN 50341-2-21
For normal additional load gn, the value corresponding to a 5-year return period is used, i.e., the maximum additional load expected to be exceeded on average once every five years at the given location.
Calculation formula:

Where:
- d - diameter of conductor or ground wire (mm),
- f - ice load coefficient. Value may vary depending on the standards and regulations.
Ice load factor/coefficient is usually with values from 1 to 5.
Slovenian standards define ice load factor depending on the thickness of the ice sheet with a density of 900 kg/m3 where the ice load factor of:
- 1, is for the ice thickness of 10 mm,
- 1.6, is for the ice thickness of 15 mm,
- 2.5, is for the ice thickness of 20 mm and
- 5, is for the ice thickness of 30 mm.
The area with a coefficient of 1.6 is an area in which, based on weather conditions and many years of experience, only small loads of ice are created, which did not cause major damage to overhead lines.
The area with a coefficient of 2.5 is an area in which, based on weather conditions, geographical location and many years of experience, large loads of ice are created, which have already caused damage to overhead lines.
The area with a coefficient of 5 is an area in which, based on weather conditions, geographical location and many years of experience, very large loads of ice are created, which have already caused damage to overhead lines.
- Spain (ES) - EN 50341-2-6:2016
Spanish standard calculates ice load based on altitude zones with a formula depending on conductor diameter.
Ice density is 750 kg/m³. Altitude zones and used formulas for calculations:

Where:
- d - conductor diameter (mm).
- Sweden (SE) - EN 50341-2-18:2018
Swedish standard differentiates between Class A and Class B lines, with or without wind, with different ice load formulas. Ice density is 917.4 kg/m³.
Class A Lines
Lines designed for the ice load in accordance with 4.5.2/SE.1.1, SE.1.2, SE.2 and 4.6.4./SE.1.1 and fulfilling the fault current capacity requirements of 11.14/SE.1.
Examples are reinforced lines and other lines which are intended to be a part of systems which are used for transmission and distribution over the entire country or which otherwise are of substantial importance.
Ice load at normal wind conditions:

Ice load at no wind:

Class B Lines
Lines designed for the ice load in accordance with 4.5.2/SE.1.3, SE.1.4, SE.2 and 4.6.4./SE.1.2. Examples are distribution lines.
Deviation from this classification can be justifiable in special cases. However the requirements for class B are the minimum requirements for all lines.
Ice load at normal wind conditions:

Ice load at no wind:

Ice load at normal wind conditions for overhead insulated cables and at no wind for overhead insulated cables:

Where:
- d - conductor diameter (mm),
- ge - dead weight of the conductor (kg/m),
- giw - ice load at normal wind (N/m),
- gwi - normal wind load at conductor covered by ice load (N/m),
- gi0 - ice load at no wind, minimum 20 (N/m),
- ρair - air density = 1.25 kg/m³,
- Cd - drag coefficient (typically 1.0 - 1.2),
- v - wind speed (m/s),
- deg = d + 2ti - effective diameter of the conductor with ice layer (m).
Formula for normal wind load at conductor covered by ice load in (N/m) is:

Wind speed and ice thickness are defined according to climate zones and line class (A or B).
Wind load according to the standard:
Wind load, in accordance with the implemented Power Path standards, is calculated using the Bernoulli equation from fluid mechanics. Depending on the selected standard and applicable rules, the user may perform calculations using equations or manually define the wind pressure value or wind load per unit length of the conductor.
Calculation formula:

(1.21)
Where:
- ρ - air density (kg/m³), typically 1.225 kg/m³ at 15°C,
- V - wind velocity (m/s).
This formula is used to calculate the velocity pressure (dynamic pressure or base wind pressure) of wind at a specific height (it is a core component of wind load and wind forces calculations). It represents the kinetic energy of the wind being converted into pressure when it hits a structure.
2. Support Report
Force components on the support (Vx, Vy, Vz)
Figure 2.1: Vertical and horizontal forces on support
Vx,Vy,Vz are horizontal and vertical forces on support in X, Y, Z-axis direction, respectively.
Wind force, general equation
Wind force QWx due to horizontal wind blowing, at reference height, normal to any component is given by equation (2.1):

(2.1)
Where:
- qp(h) - wind pressure,
- h - referent height,
- Gx - construction factor of the observed transmission line component,
- Cx - force coefficient (aerodynamic coefficient), which depends on the shape of the observed component and
- Ax - projection of the surface of the observed component on a plane normal to the wind direction.
Wind pressure qp(h) is calculated as Bernoulli equation as shown in formula above (1.21).
Wind force on support cross-arm

(2.2)
Where:
- q – wind pressure,
- Gc – structural factor, Gc = 1 – can be adopted or not, depending on the standard,
- Cv – aerodynamics factor, Cv = 1 – can be adopted or not, depending on the standard,
- d – conductor diameter,
- L1 , L2 – lengths of adjacent spans.
Structural factor is given according to expression (2.3):

(2.3)
Where:
- kp – the maximum factor is defined as the ratio of the maximum value of the variable part and the standard deviation,
- Iv(h) – turbulence intensity,
- B2 – environmental factor and
- R2 – resonance response factor, usually R2 = 0.
The environmental factor is obtained as:

(2.4)
Where:
- Lm – mean value of two adjacent spans given as:
- L(h) – turbulent length scale (length of increased wind velocity) in m, on referent height h, which amounts to:

(2.5)
The structural factor, in general, decreases with increasing span length, and increases with increasing conductor reference height. Also, the structural factor decreases with increasing terrain category.
Wind force perpendicular to support cross-arm

(2.6)
Where:
- α – alignment angle which was obtained as: α = θ1 = - θ2

Figure 2.2: Forces on support cross-arm
Where:
- qp(h) – wind pressure,
- h - referent height,
- Gc – structural factor of conductor,
- Cc – coefficient of force (aerodynamic coefficient) of the conductor,
- d – conductor diameter,
- L1, L2 – lengths of adjacent spans,
- φ – angle between wind direction and longitudinal axis of the console (Figure 2.2) and
- θ1, θ2 - ( θ1 + θ2) * 1/2 = θ is the route change angle.
Force on support cross-arm

(2.7)
Where:
- s - conductor tensile stress,
- S - conductor cross section and
- α - alignment angle.
Force on support perpendicular to cross-arm

(2.8)
Where:
- s - conductor tensile stress,
- S - conductor cross section and
- α - alignment angle.
Figure 2.3: Wind forces on conductor and consoles
As will be indicated and said later, F is the vertical force on the conductor and is obtained as: F = sS . These forces are obtained as a projection of the angle α, so that is why we have a sine or cosine.
Weight span
The weight span is used to calculate the vertical forces acting on the pole and consists of parts of two adjacent spans, which are defined by the distance from the pole to the vertices (bottom) of the conductor line (lowest point of the conductor) (Figure 2.4). Three cases of weight span:


Figure 2.4: Three cases of weight span: a) the vertices of both catenaries are within their spans; b) the vertices of one catenary are in the adjacent span; c) the vertices of both catenaries are in adjacent spans
a) Both lowest points are at their respective spans. The weight span for pole A is the distance between these vertices:

(2.9)
b) One lowest point is in its respective span (The vertices of both catenaries are within their spans). The weight span for pole B is:

(2.10)
Where a'2 - extended span a2 to the vertices of catenary.
This can be explained by the fact that the tensile stress at the suspension point on pole B is the same, regardless of where the lower suspension point on pole A is located. Pole A can theoretically be placed at any point of the extended span (e.g., points A' or A) and its weight span is:

(2.11)
The length a''1 is subtracted from a'1 , because the span on the right side of pole A loads the pole with the vertical component of the tensile force which acting upwards. In contrast, part a''1 loads the pole B with a vertical force downwards. Depending on which part is larger, whether a'1 or a''1 a positive or negative value for agA is obtained, as can be seen from relation 2.22. If a''1 > a'1 the direction of vertical force at support (pole) A will be upwards, i.e., vertical force is negative. Then the insulator could be pulled out of the console (if it is supporting) or turned upwards (if it is hanging), so a counterweight should be placed on the insulator to compensate for the vertical component of the force acting upwards.
c) Both lowest points are in their adjacent spans. The weight span for pole B is certainly negative because both spans at the point of suspension on pole B generate vertical components of the force going upwards, and in this case, the counterweight should be placed.
Vertical force on support B has negative value.
Vertical force on support
The vertical component of the tensile force of the conductor is greatest at the upper point of suspension (if we look at Figure 2.5., Then it would be point 2), while it is equal to zero at the bottom (vertices) of the catenary. The following relations apply to the vertical components of the tensile force (Figure 2.5):
Vertical force acting on a conductor:

(2.12)
Where:
- sF - total conductor tensile stress (explained at the initial conditions of the equation of state),- S - cross section of the conductor (mm2).
The flexible rope hung freely in the gravitational field describes the catenary:
(The quotient s / g is the catenary parameter).
Since the total tensile stress is determined by sF = y * g , then the following expression for the total tensile stress can be further written:

(2.13)
Figure 2.5 shows the force Fx by which the part of the conductor on the right side, in relation to the point (x,y) loads the cross section of the conductor at that point. Since the conductor is in static equilibrium, the part of the conductor on the left side, in relation to the point (x,y) loads the observed cross section with the force Fx .

Figure 2.5: Catenary local coordinate system (oblique span shown in rectangle coordinate system)
The labels in the Figure 2.5 are: a - span, ad - additional span, at - total span, h - the vertical distance between the suspension points of the conductor, 1 and 2 - the suspension points of the conductor, 4 - fictitious hanging point of total span, 3 - the vertices of the catenary, x,y - coordinate, s - horizontal tensile stress component, g - specific weight of conductor, Fxx - the horizontal component of the tensile force of the conductor at the point (x,y) , Fyx - the vertical component of the tensile force of the conductor at the point (x,y), Fx - the total tensile force of the conductor at the point (x,y).
Reduced resultant force and moment at the top of support
In the case of supports of power lines, conductors and insulators are attached to the connection (attachment) points (APs) at different heights. At each point, there are forces with the components: Vx, Vy (horizontal) and Vz (vertical). The goal is to replace the distributed forces with equivalent "reduced" loads at the top of the support.
Vector summation of forces
The first step is to sum up all the forces by the components. We assume that all values Vx, Vy are Vz given in the same coordinate system of the support. Then the resulting components are obtained as:

(2.14)

(2.15)

(2.16)
With this vector addition, we obtain a unique force R that has components (Rx, Ry, Rz) . They represent the total load along the directions that the pole needs to transfer. The magnitude of the resultant force is:

(2.17)
Transmission of forces from various heights to the top of the support (effect of the moment)
Forces act on the support at different heights h_i. To obtain an equivalent system at a reference height h_k (taken as the top of the support), static equivalence is preserved by transferring all forces to h_k and adding the corresponding moments.
Resultant forces at the reference height h_k as defined above:



Additional moments due to the height difference (h_k - h_i):

(2.18)

(2.19)
Where:
- h_i - height of the i-th attachment point above the base of support,
- h_k - height of the support (top of the support),
- M_x - equivalent bending moment about the X-axis at height h_k, caused by the Y-direction forces transferred from height h_ito h_k,
- M_y - equivalent bending moment about the Y-axis at height h_k, caused by the X-direction forces transferred from height h_ito h_k.
Here is an example of a support where the load components (V_x_i, V_y_i, V_z_i) act at heights h_i (i=1,2,3) measured from the base; by transferring these forces to the reference height h_k (support top), the equivalent resultant forces (R_x, R_y, R_z) and the corresponding moments (M_x, M_y) are obtained (Figure 2.6).

Figure 2.6: Vertical and horizontal forces, and moments on support along with reduced forces